Soal dan pembahasan osn kimia tahun 2008

I. Pilih Jawaban yang Paling Tepat:

1. Pernyataan berikut ini manakah yang benar? (nomor atom O= 8; F=9)

A. 18O dan 19F mempunyai jumlah neutron sama.

B. 14C dn 14N adalah isotop karena nomor massanya sama .

C. 18O-2 mempunyai jumlah elektron yang sama dengan 20Ne.

D. A dan B benar.

E. A dan C benar

2. Bila 1,50 g padatan H2C2O4.2H2O dan membebaskan seluruh molekul air yang terhidrasi maka akan diperoleh H2C2O4 sebanyak:

A. 0,34 g B. 0,92 g C. 1,07 g D. 1,26 g E. 1,50 g

3. Sukrosa (C12H22O11) larut dalam air, tetapi bukan suatu elektrolit karena:

A. sukrosa tidak larut sempurna dalam air.

B. sukrosa adalah molekul organik.

C. sukrosa bukan asam atau juga bukan basa.

D. sukrosa tidak membentuk ion dalam larutan.

E. semua pernyataan salah, karena sukrosa adalah elektrolit!

4. Formula empiris lindane, suatu insektisida yang sangat keras, adalah CHCl. Massa molar lindane adalah 290,8 g/mol. Berapa banyak atom karbon yang terdapat dalam molekul lindane?

A. 2 D. 6

B. 3 E. 8

C. 4

5. Berikut ini, konfigurasi elektron yang manakah melanggar prinsip larangan Pauli.

clip_image002

Jawab: C

6. Atom unsur mempunyai konfigurasi elektron 1s22s22p63s23p3 . Senyawa yang paling mungkin terbentuk dengan Br adalah:

A. XBr D. XBr3

B. XBr2 E. X3Br2

C. X2Br3

7. Tabel berikut ini adalah lambang unsur hipotetis yang ada di jagad raya serta elektronegatifitas nya:

Unsur

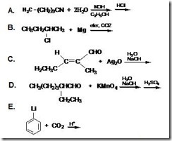
elektronegatifitas

L

2,0

M

3,5

Q

0,9

R

2,5

Berikut ini ikatan yang paling kurang polar (paling non-polar) adalah:

A. L-M D. Q-R

B. M-Q E. M-R

C. LR

8. Berikut ini, kelompok mana yang hanya mengandung molekul ikatan kovalen?

A. BCl3, SiCl4, PCl3 D. Al, O3, As4

B. NH4Br, N2H4, HBr E. Cl2, NaCl, H2O

C. I2, H2S, NaI

9. Manakah spesi yang isolektronik dengan NO2+?

A. N2O D. NO

B. NO2E NH4+

C. NH2

10. Berturut turut, bagaimana masing masing hibridisasi dari atom nomor 1 hingga nomor 4 berikut ini:

clip_image004

A. sp2 sp sp2 sp3 D. sp3 sp2 sp3 sp

B. sp2 sp2 sp3 sp E. sp3 sp2 sp3 sp3

C. sp3 sp2 sp2 sp

11. Geometri molekul dari CH2O adalah:

A. square planar D. octahedral

B. trigonal planar E. Jawaban A, B, C dan D salah

C. tetrahedral

12. Berapa bilangan oksidasi X dalam senyawa MgXO4?

A. +4 D. +10

B. +7 E. Jawaban A, B, C dan D salah

C. +8

13. Pasangan berikut ini, pilih senyawa yang mempunyai energi kissi paling rendah:

I. NaF atau MgO

II. CaS atau BaS

A. NaF dan CaS D. MgO dan BaS

B. NaF dan BaS E. Tidak dapat ditentukan

C. MgO dan CaS

14. Perhatikan proses reaksi berikut ini:

2 A→ ½ B + C ΔH = 5 kJ/mol

3/2 B + 4 C → 2 A + C + 3 D ΔH = -15 kJ/mol

E + 4 A → C ΔH = 10 kJ/mol

Hitunglah ΔH untuk reaksi : C → E + 3D

A. 0 kJ/mol D. -20 kJ/mol

B. 10 kJ/mol E 20 kJ/mol

C. -10 kJ/mol

15. Berikut ini diberikan Tabel energi ikatan:

Jenis ikatan

C–C

C–H

O=O

C=O

O–H

Energi ikatan (kJ/mol)

347

413

498

799

467

Entalpi pembakaran 1 mol gas propana (C3H8), sesuai dengan reaksi berikut:

C3H8 (g) + 5 O2(g) "3 CO2 (g) + 4 H2O(g)

adalah:

A. 355 kJ D. –2042 kJ

B. 2570 kJ E. -1387 kJ

C. –1695 kJ

16. Reaksi penguraian gas nitrogen pentaoksida berikut ini:

2N2O5 (g) " 4NO2 (g) + O2 (g)

Pernyataan yang benar mengenai hukum laju reaksi diatas adalah:

A. Laju= r = k [N2O5]2

B. Laju= r = [N2O5]2

C. Laju= r = k [N2O5]2 / [NO2]4 [O2]1

D. Laju= r = k [N2O5]x

E. Laju= r = [N2O5]x

17. Salah satu langkah produksi pembuatan asam nitrat adalah oksidasi ammonia , seperti ditunjukkan diibawah ini:

4NH3 (g) + 5O2 (g) "4NO(g) + 6H2O(g)

Bila uap air muncul dengan laju 0,025 mol·min–1, pada saat yang sama berapa laju hilangnya ammonia?

A. 0,0040 mol·min–1 D. 0,100 mol·min–1

B. 0,017 mol·min–1 E. 0,150 mol·min–1

C. 0,038 mol·min–1

18. Kombinasi manakah dari larutan HCl dan NaOH yang menghasilkan pH= 7 ?

A. 50 mL HCl 1 M dengan 50 mL NaOH 1 M

B. 50 HCl mL 2 M dengan 50 mL NaOH 2 M

C. 100 mL HCl 1 M dengan 50 mL NaOH 2 M

D. 100 mL HCl 1 M dengan 100 mL NaOH 1 M

E. Semua menghasilkan pH=7

19. Berikut ini manakah reaksi Asam Basa menurut teori Bronsted-Lowry?

clip_image006

A. I, III D. I, III, IV

B. I, II, III, IV E. II, III,

C. I, II, III

20. Susunlah urutan peningkatan keasaman (asam lemah ke asam kuat) dari senyawa berikut ini:

Fenol

Asam piruvat

Aspirin

Asam Karbonat

PKa=9,95

PKa = 2,49

PKa = 3,48

PKa = 6,36

I

II

III

IV

A. I, III, IV, II D. IV, II, I, III

B. I, IV, III, II E. I,II,III.IV

C. II, IV, III, I

21. Berikut ini, semuanya membentuk buffer. Manakah yang kapasitas buffernya paling kecil: (Ka HASetra = 2,0x10-5)

A. 0,01 M asam asetat / 0,01 M Natrium asetat

B. 0,1 M asam asetat / 0,1 M Natrium asetat

C. 1,0 M asam asetat / 1,0 M Natrium asetat

D. Semua mempunyai kapasitas buffer yang sama

E. Bukan jawaban A, B, C, D atau D

22. Bila 100 mL contoh larutan jenuh masing masing garam Pb berikut ini, manakah yang mengandung konsentrasi ion Pb2+(aq) paling tinggi?

A. PbCO3 (Ksp = 7,4 x 10-14)

B. PbCl2 (Ksp = 1.6 x 10-5)

C. PbCrO4 (Ksp = 2,8 x 10-13)

D. PbF2 (Ksp = 2,7 x 10-8)

E. PbS (Ksp = 8,0 x 10-28)

23. Berikut ini, manakah pernyataan yang tidak benar mengenai Sel Galvani?

i. Katoda bermuatan positif.

ii. Anion berpindah kearah katoda.

iii. Elektron dilepaskan dari anoda.

iv. Reduksi terjadi di anoda.

Manakah pernyataan yang tidak benar mengenai Sel Galvani tersebut

A. iii dan iv D. i dan iii

B. ii dan iii E. ii dan iv

C. i dan ii

24. Dari reaksi-reaksi di bawah ini, manakah perubahan entropinya (DS) bernilai positip

A. 2 NaHCO3(s) ® Na2CO3(p) + CO2(g)­+ H2O(g)

B. 2 NO2(g) ® N2O4 (g)

C. 2SO2(g) + O2(g) ® 2 SO3(g)

D. 2 H2(g) + O2(g) ® 2H2O(l)

E. CO2(g) + CaO(s) ® CaCO3(s)

25. Proses reaksi inti berikut ini, yang manakah akan merubah nomor atom?

A. Peluruhan alfa (a) D. A dan B yang benar

B. Peluruhan beta (b) E. A, B, C benar semua

C. Penangkapan elektron

26. Dalam senyawa organik berikut ini, gugus fungsi apa saja yang terdapat didalamnya?

clip_image008

A. ester, aldehida, alkena

B. alkena, ester, keton

C. aldehida, asam karboksilat, ester

D. asam karboksilat, keton, alkena

E. alkena, ester, asam karboksilat

27. Manakah senyawa berikut yang tidak bereaksi dengan propil-magnesium bromida?

clip_image010

Jawab: D

28. Produk dari hasil reaksi di bawah ini:

clip_image012

adalah

clip_image014

Jawab: D

29. Dari reaksi-reaksi di bawah, manakah yang tidak langsung menghasilkan asam karboksilat ?.

clip_image016

JAWAB: B

30. Tentukan struktur A dan B dari reaksi berikut:

clip_image018

clip_image020

A. I dan II D. II dan IV

B. III dan IV E. I dan II

C. III dan V

Bagian II. Selesaikanlah Soal berikut ini

Soal 1: Larutan NaCl dan etanol dalam air (18 poin)

Air merupakan senyawa oksigen dengan hydrogen, berwujud cair pada temperatur ruang, memiliki titik lebur 0 oC dan titik didih 100 oC pada tekanan 1 atm. Air merupakan pelarut universal yang efektif bagi beberapa senyawa kimia. Adanya zat terlarut dalam air dapat berpengaruh pada titik lebur maupun titik didih larutan. Massa atom H= 1, C =12, O =16, Na=23, Cl = 35,5; tetapan lebur air Kf = 1,86 oC m-1

a. Tuliskan reaksi pelarutan garam NaCl dalam air dan pelarutan etanol (CH3CH2OH) dalam air. (2 poin)

b. Mengapa etanol mudah larut dalam air? (2 poin)

c. Jika garam NaCl sebanyak 23,40 gram dilarutkan dalam air sampai volume tepat 100,00 mL, berapakah konsentrasi larutan garam tersebut dalam satuan molaritas dan berapa fraksi mol NaCl dalam larutan tsb? Abaikan volum NaCl dan anggap densitas air =1. (4 poin)

d. Jika etanol (densitas 0,789g/mL) sebanyak 10,00 mL dilarutkan dalam air sampai volume tepat100,00mL menghasilkan larutan etanol dengan densitas 0,982g/mL. Hitung konsentrasi larutan etanol yang dinyatakan dalam % massa dan molalitas (m). (3 poin)

e. Bandingkan titik lebur larutan NaCl pada soal ’c’ dan larutan etanol pada soal ’d’, buktikan larutan mana yang memiliki titik lebur lebih rendah!.

(4 poin)

f. Bila larutan NaCl dan larutan etanol mempunyai molaritas yang sama, apakah ada perbedaan tekanan uap larutan masing masing? Jelaskan dan beri alasannya. (3 poin)

JAWAB:

  1. NaCl + H2O D Na(aq)+ + Cl(aq)-

C2H5OH + H2O D C2H5OH(aq) (2 poin)

b. CH3CH2OH molekul polar, larut dalam air (polar) dan membentuk ikatan hidrogen (2 poin)

c. Konsentrasi larutan NaCl = [23,4 /58,5 mol]/[100 mL/1000 mL) = 4M,

mol fraksi NaCl = 4/(4+5,55) =0,419 @ 0,42 (4 poin)

d. % massa larutan etanol =7,89 g etanol/98,2g larutan = 8,03%,

molalitas = 0,171 mol etanol/0,0903kg air = 1,89 m. (3 poin)

e. Titik lebur larutan NaCl = -1,86 x 4 m x 2 = -14,88 oC

Titik lebur larutan etanol = -1,86 x 1,89 = -3,52oC (4 poin)

  1. Tekanan uap larutan (P) akan berbeda: Plarutan etanol >Plarutan NaCl

karena : etanol zat cair terlarut yang volatile (dapat menguap, mempunyai tekanan uap, Pouap), sedangkan NaCl adalah zat terlarut ionik non-volatile (PoNaCl = 0, tidak menguap) (3 poin)

Soal 2: Nitril fluorida (15 poin)

Nitril fluorida adalah gas tak berwarna yang sangat reaktif, dan titik didihnya sangat rendah (-72 °C). Gas ini digunakan sebagai bahan oksidator pada pendorong roket dan agen fluorinasi. Komposisi molekulnya (% berat) mengandung 21,55% N, 49,23% O dan sisanya F. Densitasnya pada 20oC dan tekanan 1,00 atm adalah 2,7 g/L.

  1. Menurut anda, nitril fluorida apakah senyawa fluorida molekular atau ionik?

(2 poin)

  1. Tentukan rumus molekul nitril fluorida (5 poin)
  2. Gambarkan struktur Lewis nitril fluorida (4 poin)
  3. Jelaskan bentuk molekul nitril fluorida dan berapa besar sudut FNO (2poin)
  4. Apakah nitril fluorida merupakan senyawa polar? jelaskan (2 poin)

JAWAB:
Nitril fluorida

Nitril fluorida adalah gas yang sangat reaktif, digunakan sebagai bahan bakar roket. Bahan ini mengandung 21,55%N, 49,23%O dan 29,22%F. Densitasnya 2,7 g/L pada 20oC dan tekanan 1,00 atm.

  1. Nitril fluorida adalah senyawa fluorida molekuler, karena titik didihnya sangat rendah.
  2. Rumus molekul nitril fluorida (5 poin)

NO2F (FNO2)

Mol N : mol O : mol F = clip_image022clip_image024

= 1,539:3,076:1,538 = 1:2:1 (2 poin)

Formula empiris= NO2F

Massa empiris = 65

PV=nRT d = 2,7g/L

clip_image026 dan clip_image028 M= massa molar gas

clip_image030

M= 66 g/mol (2 poin)

Formula molekul = NO2F (FNO2) (1 poin)

  1. Struktur Lewis nitril fluorida O=N-F (4 poin)

clip_image032clip_image034 O

  1. Bentuk molekul nitril fluorida segitiga datar dan sudut FNO = 120 derajat ( 2 poin)

  1. Nitril fluorida merupakan senyawa polar, karena F sangat elektronegatif (2 poin

Soal 3: Larutan campuran garam garam klorida dalam air (11 poin)

Suatu larutan mengandung NaCl, MgCl2, dan AlCl3. Dalam larutan tersebut, molaritas ion klorida (Cl-) adalah 1,00 M, sedangkan molaritas ion Na+ dan Mg2+ masing masing adalah 0,200 M dan 0,300 M.

a. Tentukanlah berapa molaritas ion Al3+ dalam larutan. (3 poin)

Dalam larutan: total muatan kation =total muatan anion

Diperoleh:

Mol ion Cl- = 1 mol (Na+ ) + 2 mol (Mg2+) + 3 mol (Al3+)

Sehingga: 1,00 mol = 1(0,200 mol) + 2(0,300 mol) + 3 (mol Al3+)

clip_image036 (2 poin)

Volume 1, 00 L

Molaritas Al3+ = 0,067 mol/L = 0,067 M (1 poin)

b. Dengan melarutnya tiga garam klorida, setelah diukur ternyata pH nya bersifat asam. Jelaskan apa yang menyebabkan larutan bersifat asam? (2 poin)

Didalam larutan:

Ion Al3+ cenderung terhidrolisis sehingga larutan bersifat asam

Al3+ + H2O" Al(OH)2+ + H+

atau:

Al3+ + 3 H2O" Al(OH)3 + 3 H+

atau

[Al(H2O)6]3+ + 3 H2O" [Al(H2O)5OH]+ + 3 H+ (2 poin)

c. Bila kedalam 1 liter larutan tersebut ditambahkan sejumlah NaOH padat sehingga pH nya 12. Bila diketahui Ksp Al(OH)3 = 1,9x10-33 dan Ksp Mg(OH)2 = 1,5x10-11, maka ramalkanlah apakah terjadi endapan Mg(OH)2 dan/atau Al(OH)3. (6 poin)

Jawab:

Al(OH)3 D Al3+ + 3 OH- Ksp Al(OH)3 = 1,9x10-33

Mg(OH)2 D Mg2+ + 2 OH- Ksp Mg(OH)2 = 1,5x10-11

pH = 12 maka pOH =14-12 = 2. (1 poin)

[OH-] = 10-2 = 0,01 M (1 poin)

Q Al(OH)3 = [Al3+] [OH-]3 = [0,067] [0,01]3

= 6,7 x10-8 >Ksp Al(OH)3; Al(OH)3 mengendap (2 poin)

Q Mg(OH)2 = [Mg2+] [OH-]2 = [0,200] [0,01]2

= 2 x 10-5 > Ksp Mg(OH)2; Mg(OH)2 mengendap (2 poin)

Soal 4: Reaksi kesetimbangan gas Nitrosyl Bromida (14 poin)

Pada temperatur tertentu, Nitrosyl bromida terurai sesuai dengan reaksi:

2NOBr (g)D 2NO(g) + Br2 (g) DH = +16,1 kJ

Bila dalam suatu wadah tertutup rapat pada awalnya terdapat NOBr dengan tekanan 0,500 atm, setelah didiamkan dan mencapai kesetimbangan ternyata NOBr telah terurai sebanyak 18% .

a. Tuliskan pernyataan tetapan kesetimbangan Kp (2 poin)

clip_image038

b. Berapa tekanan parsial gas NOBr, NO, dan Br2 setelah tercapai kesetimbangan keadaan kesetimbangan (3 poin)

clip_image040 (1 poin)

clip_image042 (1 poin)

clip_image044 (1 poin)

c. Berapa tekanan total sesudah tercapai kesetimbangan. (2 poin)

clip_image046

d. Berapa nilai tetapan kesetimbangan Kp pada temperatur trersebut? (3 poin)

clip_image048clip_image050 (3 poin)

e. Bagaimana pengaruh perubahan kondisi sistem berikut ini terhadap kesetimbangan tersebut: ( 4 poin)

i. Ditambahkan gas Br2:

Q>Kp maka kesetimbangan bergeser kekiri (kearah reaktan) (1poin)

ii. Gas NOBr dikeluarkan sebagian:

Q>Kp, maka kesetimbangan bergeser kekiri (kearah reaktan) (1poin)

iii. Temperatur diturunkan:

Reaksi endoterm, T turun, Kp berkurang maka reaksi bergeser kearah eksoterm (Kearah pembentukan reaktan), kekiri (1poin)

iv. Volume wadah diperbesar:

Q>Kp, reaksi bergeser kekanan (kearah produk) (1poin)

Soal 5. Kinetika reaksi Gas ClO2 dalam larutan basa. (16 poin)

Perhatikanlah reaksi berikut ini

2 ClO2 (aq) + 2 OH- (aq) " ClO3- (aq) + ClO2- (aq) + H2O (l)

Dan diperoleh data laju awal sbb:

[ClO2], mol/L

[OH-], mol/L

initial rate, mol/L s

0,0500

0,100

5,77 x 10-2

0,100

0,100

2,32 x 10-1

0,100

0,050

1,15 x 10-1

    1. Apa jenis reaksi diatas? (2 poin)
    2. Tentukan order reaksi terhadap reaktan dan total order reaksinya

(3 poin)

    1. Tentukanlah persamaan laju reaksinya (1 poin)
    2. Hitunglah nilai tetapan laju reaksinya,k, (termasuk unitnya)! (3 poin)
    3. Apakah reaksi tersebut dipengaruhi oleh pH larutan? Bagaimana pengaruhnya terhadap laju reaksi bila pH larutan diturunkan?

(2 poin)

    1. Bagaimana laju reaksinya bila [ClO2] dinaikkan menjadi 3 kali dan [OH-] dinaikkan 2 kali. (2 poin)
    2. Tentukanlah laju reaksinya bila [ClO2] = 0,2 M dan pH larutan = 12

(3 poin)

JAWAB:

    1. Reaksi auto-redoks (disproporsionasi) (2 poin)
    2. Order 2 terhadap ClO2 dan order 1 terhadap OH-. Total Order reaksi=3 ( 3 poin)

c. Laju= r = k[ClO2]2[OH-] (1poin)

    1. k (avg) = 2,31 x 102 L2/mol2 s (3 poin)
    2. Dipengaruhi pH. Reaksi semakin lambat bila pH diturunkan (2 poin)
    3. Laju reaksi akan meningkat 18 kali. (2 poin)
    4. r = k[ClO2]2[OH-]

r = 2,31 x 102 L2/mol2 s x (0,2 mol/L)2 (10-2mol/L) = 0,0924 (3poin)


Soal 6.  Larutan Bufer Basa anilin (14 poin)

Anilin (C6H5NH2) adalah suatu senyawa organik-nitrogen yang didalam air memberikan sifat basa. Bila direaksikan dengan larutan HCl, akan membentuk konyugasi asamnya, ion anilinium, sesuai reaksi:

C6H5NH2 (aq) + HCl (aq) " C6H5NH3+ (aq) + Cl- (aq)

a. Tuliskan reaksi asam-basa C6H5NH2 dalam air (2 poin)

C6H5NH2 + H2O D C6H5NH3+ + OH-

b. Bila Kb untuk anilin adalah 4,0 x 10-10, berapa nilai Ka untuk ion anilinium? (3 poin)

Ka = Kw / Kb = 2,5 x 10-5

c. Berapa pH dari larutan 0,080 M larutan anilinium chlorida? (4 poin)

Menggunakan pendekatan, x = [H+] = {(2.5 x 10-5) (0,080)}1/2 = 1,41 x 10-3
pH = 2,84

d. Berapa pH larutan yang anda akan peroleh bila kedalam 100 mL larutan ’c’ ditambahkan 150 mL larutan anilin 0,10M. (5 poin)

[C6H5NH3+] = clip_image052

[C6H5NH2] =clip_image054 (1 pon)

Buffer basa: C6H5NH3Cl(aq) " C6H5NH3+ (aq) + Cl- (aq)

C6H5NH2 + H2O D C6H5NH3+ + OH- Kb (1 poin)

clip_image056

clip_image058 (2 poin)

pOH = 9,37 – 0,27 =9,10 (2 poin)


Soal 7. Sel Galvani (16 poin)

Dua reaksi setengah sel yaitu : Ni(s)/Ni2+(aq) dan Cd(s)/Cd2+ (aq) disusun dan membentuk sel Galvani

Diketahui masing masing Potensial standard reduksi:

Ni2+(aq) +2e "Ni(s) E° = -0.23 V

Cd2+(aq) + 2e "Cd(s) E° = -0.40 V

(a) Tuliskan persamaan reaksi sel yang terjadi pada sel tersebut (termasuk anoda dan katoda). (4 poin)

Ni2+ lebih cenderung reduksi, sehingga:

Ni2+(aq) +2e "Ni(s) E° = -0.23 V

clip_image059Cd2+(aq) + 2e "Cd(s) E° = -0.40 V -

Ni2+(aq) + Cd(s) " Ni(s) + Cd2+(aq) Eosel = +0,17 V

(b) Berapa nilai E° dan konstanta kesetimbangan reaksinya ? (6 poin)

E° = -0.23 V + 0.40 V = 0,17 V

clip_image061 _ clip_image063 K= 5,5x105

(c) Bila sebanyak 0,050 C s-1 diambil/ digunakan dari baterei, berapa lama baterei tersebut dapat digunakan bila masing masing dimulai dengan 1,0 Liter larutan dan masing masing konsentrasinya 1,0 M ion terlarut? Berat masing masing elektroda pada awalnya 50,0 g. (1 F = 96450 C) (volume larutan dianggap tidak berubah) (4 poin)

Reagen pembatas: jumlah Cd(s), karena 50,0g/112,411 g/mol = 0,445 mol.

t = waktu pengunaan, maka:

clip_image065

(2 poin)

c. Berapa konsentrasi ion Ni2+ dan Cd2+ dalam larutan setelah digunakan? (2 poin)

d. clip_image067

clip_image069

(2 poin)

Soal 8. Reaksi dan sintesa senyawa organik (12 poin)

Berikut ini, bagaimana membuat:

a. Isopropil alkohol dari n-propil alkohol

b. Propana dari isopropil alkohol

c. Asetamida dari asam asetat.

Jawab:

a. Isopropil alkohol dari n-propil alkohol

2 poin 2 poin

clip_image071

b. Propana dari isopropil alkohol

2 poin 2 poin

clip_image073

c. Asetamida dari asam asetat

2 poin 2 poin

clip_image075


Soal 9. Reaksi dan struktur (16 poin)

a. Reaksi adisi antara HCl dengan senyawa 3-metil-1-butena akan menghasilkan dua senyawa alkil klorida, sebutkan dua senyawa tersebut. Bagaimana mekanisme reaksinya?

Jawab:

Alkil Halida adalah:

i. 3-kloro-2-metil butana (2 poin)

ii. 2-kloro-2-metil butana (2 poin)

clip_image077Mekanisme 2 poin 2 poin

2 poin 2 poin

____________________________

Total 12 poin

b. Tentukan struktur dari hidrokarbon aromatik dengan rumus molekul C9H12 yang bila di brominasi hanya menghasilkan satu produk brominasi yaitu C9H11Br.

Jawab:

b. Struktur hidrokarbon aromatik yang mempunyai rumus molekul C9H12 ; hanya menghasilkan satu produk mono brominasi C9H11Br ( 4 poin)

clip_image079

Hibou Bimbel

Contact hibou.bimbel@gmail.com. for more information

loading...

No comments:

Post a Comment